Repausul alimentar si arderea grasimilor
Insulina este principalul factor, atat in cazul obezitatii, cat si al diabetului de tip 2. Prin urmare, cheia pentru rezolvarea ambelor probleme nu este raspunsul la intrebarea “cum putem reduce caloriile?”, ci la “cum reducem insulina?” Nu prea exista medicamente, care sa faca acest lucru. De fapt, există două clase de medicamente, care reduc in mod constant nivelul de insulina. Nu intamplator, acestea sunt singurele medicamente care reduc in mod constant si greutatea corporala. Problema este că aceste medicamente sunt extrem de scumpe și au efecte secundare. Fara medicamente, este nevoie de un mod eficient de a reduce insulina, dacă vrem sa aveam succes în a pierde în greutate. O dieta saraca in carbohidrati si in zahar rafinat va avea rezultate pentru unii, dar pentru alții, nu este suficient. Răspunsul, în cazul în care nu ați ghicit încă, este postul.
În esență, postul este trecerea treptată de la arderea glucozei, la arderea grasimilor. Mai jos se poate vedea cum, in etapa I, cea mai mare parte a corpului utilizează glucoză exogenă.

In etapa II și III, glicogenul (zahărul depozitat) oferă, in cea mai mare parte, glucoza necesara. Cele mai multe țesuturi utilizeaza în continuare zahăr, dar celulele hepatice, celulele de grasime si celulele musculare au inceput sa arda grasime.
In etapa IV și V (cam peste 2 zile de post), depozitele de glicogen s-au epuizat. Gluconeogeneza hepatică și renală (ficat și rinichi) ofera acum toata glucoza, dar numai creierul, celulele roșii din sânge și medulara renală (partea interioară a rinichiului), folosesc glucoza. Orice altceva a trecut pe arderea grasimilor. Până in etapa V, creierul s-a mutat deja, in cea mai mare parte, pe arderea grasimilor, sub forma cetonelor. Este nevoie numai de o cantitate mică de glucoză pentru celulele roșii din sânge.
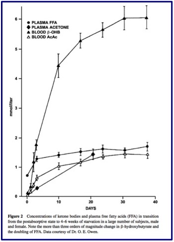
Efectul acestui lucru se poate observa în concentrațiile din sânge a acizilor grași liberi (FFA-FREE FATTY ACID), ca răspuns la repausul alimentar (“foame”). Nivelul de FFA în plasma, de la aproape nedetectabil, creste foarte mult! Cetonele, care hranesc creierul, sunt betahydroxybutyrat și acetoacetat; si acestea prezintă, de asemenea, o creștere.

Trigliceridele se descompun în coloana vertebrală in glicerol și trei acizi grași, care devin liberi (FFA). Acizii grași sunt utilizati direct de către organism. Glicerolul se duce la ficat și este transformat în glucoză, prin procesul de gluconeogeneza. Prin urmare, grăsimea este în măsură să furnizeze cantitatea mica de glucoza, necesară pentru creier, celulele roșii din sânge și medula renală. Nu e nevoie deci sa se apeleze la masa musculara pentru acest lucru.
Așa că, prin post, mușchii nu sunt lipsiti de combustibil. In schimb, glucoza, disponibilă in cantitate mica, se înlocuiește cu grăsimi disponibile pe scară largă, ca varianta de combustibil. Asta e bine, pentru că organismul este capabil să stocheze cantități practic nelimitate de grăsime, dar numai o cantitate mică de glucoză. Mama Natura, din nou, s-a dovedit a fi mult, mult mai deșteapta decât noi. In cazul în care nu există glucoza, vom arde grăsime. Asta este o veste foarte bună pentru că, dacă există ceva cu adevarat benefic, acesta este să arzi grăsime. Niciunul din tratamentele miraculoase pe care le tot propune Dr. Oz, nu ard grăsime; dar exista o cale miraculoasa care realizeaza asta: postul.
Vrem să ardem grăsime , astfel încât sa aratam ca acest tip, Brad Pilon (autorul cartii Eat Stop Eat). Este adevarat ca prin post, scapi de grasime, dar este, oricum, un truc evident, ca daca pui pe un site imaginea unui barbat in bustul gol, crești numărul de cititori de sex feminin.:-)

Unul dintre motivele pentru care culturistii au un interes legitim pentru subiectul post, este faptul că acestia trebuie sa aiba in corp un nivel de grasime extrem de scazut, combinat cu performanțe sportive deosebite.
Asadar, creierul este acum alimentat în principal de cetone, ceea ce este o situație normală. Acesta este modul în care corpul nostru este proiectat.
Intr – un studiu recent de 4 zile de post, s-au gasit rezultate practic identice. Să aruncăm o privire mai atentă.
Există mai multe detalii interesante aici. În primul rând, veți observa că acizii grași cresc cu 373%. Glucoza din sange scade de la 4.9 la 3.5 (deci este încă este în limite normale, menținuta de gluconeogeneza hepatica). Creierul functioneaza cu cetone, iar corpul este alimentat de grăsime. Asta este procesul de ardere a grasimilor: burn, baby, burn!
În al doilea rând, puteți vedea că un post de peste 4 zile, duce la o creștere continuă a noradrenalinei, in timp ce epinefrina rămâne relativ stabilă. Creșterea adrenalinei duce la creșterea nivelului de energie și asta previne scăderea metabolismului bazal (energia utilizată pentru acele procese biologice, ce asigură funcţiile de bază in organism). In fapt, metabolismul creste cu mai mult de 10%. Metabolismul nu este blocat! Repausul alimentar, de fapt, tureaza metabolismul organismului! VO2 (capacitatea aerobica), de asemenea, crește ușor, indicând o capacitate mai mare a corpului pentru efort fizic.
Iata care sunt pe scurt beneficiile unui post, atat pentru un atlet de elită, dar si pentru o persoana obișnuită:
- creșterea adrenalinei si a VO2 > antrenament fizic eficient
- creșterea hormonului de crestere > recuperare și construire de masa musculara intr-un ritm rapid
- creșterea oxidarii acizilor grași > arderea depozitelor de grasimi
- scaderea nivelului de insulina > despre efectele acestui lucru vom discuta în detaliu, intr-un viitor articol.
Aceste beneficii sunt disponibile pentru fiecare persoană din lume, în mod gratuit. Nu numai că nu trebuie să achizitionezi suplimente scumpe, dar vei economisi bani, deoarece nu e nevoie sa cumperi alimente deloc. Si vei economisi si timp, caci nu trebuie să gătesti si sa speli vase.
Te intrebi daca vei pierde in greutate? Ei bine, DUH! Dacă nu mănânci, vei pierde cu siguranta in greutate. Deci, nu există nici o îndoială că postul este un tratament eficient de scadere în greutate. Nu există practic cazuri în care postul nu va funcționa.Este nesănătos?
Raspunsul surprinzător este faptul că postul este extrem de sănătos. Există un număr foarte mare de beneficii incredibile ale postului. Te antrenezi mai eficient, construiesti masa musculara si arzi grasimi. Nu ai cum sa nu iubesti postul! Este ceva legal și complet gratuit! Pare a fi o reclama cheesy, ce ruleaza noaptea târziu: Suna în următoarele 10 minute sau prețul se dubleaza! Citeste acest articol astăzi, sau voi tripla prețul! (Bine, bine acest blog este gratuit, de fapt). 🙂
Si acesta este doar începutul; nici măcar nu am atins beneficiile referitoare la obezitate, diabet, cancer si chiar pe cele ce privesc efectele anti-îmbătrânire.





Sunt interesata de acest subiect si vreau sa tin un post negru de 4-5 zile desi sunt cam speriata.
Am mari probleme cu sistemul meu imunitar care este total dat peste cap. Practic organismul se ataca singur.
A inceput cu un astm alergic pe la 30 de ani, apoi Basedow-Graves, am scos tiroida ca sa nu ma omoare. A cazut parul- alopecie aerata si acum dupa un diagnostic initial de parapsoriazis in placi mari, ma indrept rapid spre limfom cutanat cu celule T. Nu se vindeca.
Singurul care m-ar putea ajuta sa imi resetez sistemul imunitar ar fi postul. Practic dupa ce organismul va consuma tot ce se poate, ca consuma si celule sistemului imunitar care oricum sunt bolnave dar apoi se produl altele noi. Am mai citit ca organismul trece pe un mod de reparare proprie. Am tinut pt 6 luni postul intermitent de 5 zile cu 2 de post si m-am simtit superb…
Din cate am inteles este bine sa ai acordul unui doctor inainte sa incepi special daca sunteti deja cu lrobleme de sanatate. Am probleme cu inima si palpitatii seara uneori. Probabil si pe fond de stres. Am 108 kg, nu atat grasime ci este un mix edem. Am luat pastile pt eliminare apa dar nu am eliminat mai nimic. Am si exoftalmie, tesutul din spatele ochilor este inflamat si impinge ochii in afara… arat ca un monstru… aproape cheala… Nu prea mai am ce sa aleg sau ce sa fac…moralul e la pamant.
As vrea daca se poate sa fiu indrumata poate cu niste exercitii de meditatie. Efort fizic nu pot face, am artroza la aproape toate articulatiile… ma dor umerii ingrozitor cand ma spal pe cal… sau soldul cand merg…
In acelasi timp stiu ca organismul uman este ceva extraordinar… si minunile exista…
Sanatate multa tuturor.
LikeLike
Draga Cristina, mi se strange inima, cand citesc de suferinta oamenilor. Nu stiu cat ati citit din blogul meu. In orice caz, si eu am fost diagnosticata cu o boala autoimuna: anemie pernicioasa. Asta pe langa alte cateva suferinte si foarte multe frici. Sotul meu, din anul 2 de facultate, s-a “ales” tot cu o autoimuna: psoriazis, pe care vad ca il mentionati si dvs. Desi Catalin inca mai consuma proteina animala din cand in cand, si-a schimbat mult modul de viata (peste 90%, as zice) si psoriazisul e o amintire.
Eu nu sunt doctor, dar intelegerea mea e asta: sistemul imunitar = sistemul limfatic (“canalizarea” corpului). Corpul dvs. are toate semnalele ca se afla intr-o puternica stagnare limfatica, prin faptul ca e inflamat, inclusiv la nivel de ochi, Nu stiu ce varsta aveti si cumv a alimentati, dar greutatea de care imi vorbiti indica un mod de viata problematic, iar folosirea pastilelor cu scopul de a elimina apa din organism este o iluzie, o neintelegere a modului cum functioneaza acesta si inca o sursa de toxine. Nu astfel eliminam apa din corp, ci consumand alimente alkaline, preponderent sau 100% fructe, macar o perioada si prinpost negru. Cand am mancat doar fructe, in 3 saptamani am pierdut 4 kg, iar intr-o luna, vreo 5, desi sunt o perosoana slaba (aveam 53 de kg, la inceputul experimentului cu 4 saptamani, 100% fructe) si am ajuns sa cantaresc sub 48 de kg. Acum, cand consum oricat de putina sare sau mancare gatita, a doua zi am degetele umflate, rinichi durerosi, palpitatii nocturne, degete umflate si o stare proasta.
Va rog sa renuntati la ideea ca nu aveti ce face ori ce alege! Tot ce trebuie sa faceti este sa acceptati ca ce ati intreprins pana acum nu a dat rezultate si ca trebuie sa schimbati radical modul in care traiti si in care ganditi. Daca imi permit sa dau acest sfat este pentru ca, la randul meu, am inteles si am fost nevoita sa fac la fel, pentru a incepe drumul catre vindecarea fizica, emotionala si mentala (inca sunt pe drum, ma mai poticnesc, dar macar nu ma mai mint si nu mai astept minuni din exterior).
Imi mai permit sa va scriu cateva randuri, care sper sa va fie de folos, insa bineninteles ca dvs. sunteti cea care face alegerile, ia deciziile, care se auto instruiesti si aplica schimbarea.
Cred ca un post (altul decat cel intermittent), la problemele actuale pe care le-ati descris, ar putea declansa o detoxifiere mult prea puternica, ceea ce nu ar fi de dorit. In plus, spun asta nestiind ce mod de alimentare aveti, daca dupa post va intoarceti la dieta “standard”, va auto sabotati. Desigur ca singurul raspuns este detoxifierea, curatirea, eliminarea, insa trebuie facut cu grija acest lucru si gradual. Asta nu inseamna ca nu trebuie renuntat imediat la orice tip de proteina animala, la zahar, sare, alcool, cafea si alti stimulenti. Cand spun “gradual”, ma refer la postul negru si durata aceastuia, ci nu la ideea ca puteti inca sa consumati alimente si bauturi acide.
Cat despre sport, presupun ca puteti merge, chiar daca greu. Plimbati-va oricat de putin, dupa puteri, acest lucru ajutand la punerea in misacare a limfei. Fara miscare, suntem ca si morti, ca sa spun asa, desi poate parea un pic cam dur ce zic eu.
Referitor la meditatie, sunt sigura ca gasiti pe Youtube o multime de filmulete, care sa va ghideze. Tot din experienta stiu ca, atunci cand corpul fizic sufera, mintea e greu a fi urmarita si stapanita si meditatia, rugaciunea pot fi instrumente de real folos.
Va las mai jos cateva link-uri, care sper sa va fie de folos in intelegerea mai profunda a lucrurilor. In primul link, pe care il asez mai jos, gasiti la finalul articolului cateva filmulete video; cel mai important, cel al dr Morde, despre sistemul limfatic.Ar fi minunat daca l-ati viziona! De asemenea, va recomand sa cititi si cartea dr Morse, “Sa traim sanatos fara toxine.”
https://liorisme.com/2017/03/12/ganduri-despre-cea-mai-adanca-adictie-mancarea/
https://liorisme.com/2017/07/02/hilde-larsen-from-hell-to-inspired-sau-cum-te-vindeci-cand-te-intorci-la-natura-i/
https://liorisme.com/2017/07/09/hilde-larsen-form-hell-ulcer-lyme-and-severe-rheumatoid-arthritis-to-inspired-sau-cum-te-vindeci-cand-te-intorci-la-natura-ii/
https://liorisme.com/?s=sanatate+5+D
Daca credeti ca va mai pot fi de folos, puteti sa imi scrieti, fie pe blog, fie pe email (lioara.clemente@gmail.com).Toate vin din interior, insclusiv boala si vindecarea. Aveti puterea sa va schimbati viata!
Cu drag,
Lioara
LikeLike